新闻资讯

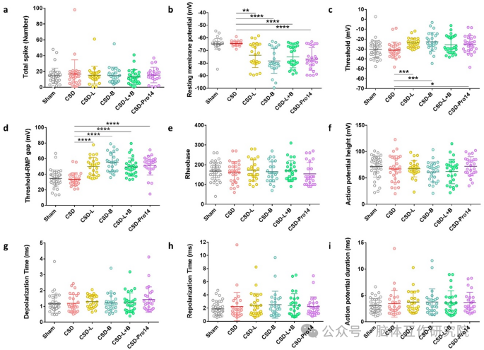
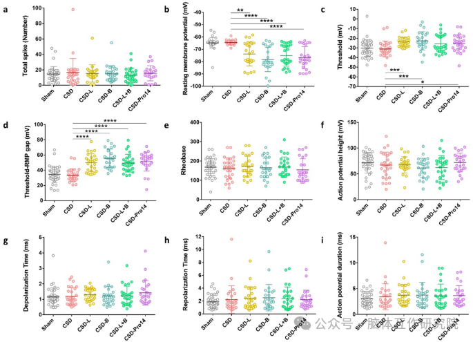
一 研究目的 曼谷朱拉隆功大学医学院生理学系Saknan Bongsebandhu-Phubhakdi发现在偏头痛模型中,益生菌通过肠-脑-三叉神经轴调节中枢和周围敏化。本文旨在深入探讨特定的益生菌补充剂(包括单一菌株:植物乳杆菌Lactobacillus plantarum、长双歧杆菌 Bifidobacterium longum,两者的组合,以及一种包含14个菌株的商业复合益生菌Pro-14)如何通过“肠-脑-三叉神经轴”调节偏头痛病理生理过程中的关键环节。研究的核心目的是在一种大鼠皮质扩散性抑制(Cortical Spreading Depression, CSD)模型(偏头痛的先兆和触发标志)中,从神经生理学层面评估这些益生菌干预措施对中枢敏化(通过CSD参数反映)和外周敏化(通过三叉神经节神经元兴奋性反映)的调节作用。研究试图系统性地比较单一菌株与多菌株益生菌配方在调节偏头痛相关神经兴奋性方面的效果差异,以期为开发精准靶向的、基于微生物群的偏头痛预防性非药物疗法提供机制层面的见解和实验依据。 二 研究方法 1.实验动物与分组 选取成年雄性 Wistar 大鼠,随机分为 6 组(每组数量一致):假手术组(Sham)、CSD 模型组(CSD)、CSD + 植物乳杆菌组(CSD-L)、CSD + 长双歧杆菌组(CSD-B)、CSD + 两菌株组合组(CSD-L+B)、CSD+14 菌株复合益生菌组(CSD-Pro14)。大鼠适应性饲养后,益生菌组每日经口灌胃相应益生菌悬液,Sham 组和 CSD 组灌胃等体积生理盐水,持续一定周期。 图1 实验范式和治疗时间线示意图 2.CSD 诱导 大鼠经麻醉后固定于立体定位仪,头皮切口暴露颅骨,制作两个颅骨钻孔:一个用于插入脑电图(ECoG)电极,另一个用于局部应用化学物质(CSD 组用特定物质,Sham 组用对照物质),持续一定时间诱导 CSD。通过 DC 耦合 ECoG 记录 CSD 波的频率和振幅。 3. 三叉神经节神经元分离与原代培养 大鼠安乐死后快速分离双侧三叉神经节,置于含特定试剂的溶液中,切碎后经分步消化、过滤离心,接种于包被特定物质的培养皿,在适宜条件下培养,过夜后用于电生理记录。根据神经元直径分为小 - 中型(主要为伤害感受性神经元)和大型(兼具伤害感受与非伤害感受功能)两类。 4. 电生理记录 采用全细胞膜片钳技术记录神经元电生理参数:在电流钳模式下,记录两类 TG 神经元的静息膜电位(RMP)、阈值电位、 rheobase(最小激发电流)、动作电位(AP)总数、AP 高度、去极化时间、复极化时间及 AP 持续时间;通过不同参数的电流注射分别评估神经元总 spike 数和单个 AP 特性。 三 研究内容 1.益生菌对 CSD 参数的影响 Sham 组无 CSD 波产生,CSD 组呈现显著升高的 CSD 波频率和振幅。益生菌处理后,CSD 相关参数呈现菌株特异性抑制:长双歧杆菌组 CSD 波频率显著降低,植物乳杆菌组和两菌株组合组主要降低 CSD 波振幅,14 菌株复合益生菌组的 CSD 频率和振幅均有下降,但未达显著水平。上述结果表明不同益生菌菌株对 CSD 的调控靶点存在差异,长双歧杆菌主要抑制 CSD 的发生频率,植物乳杆菌则优先降低 CSD 的强度。 图2 益生菌补充剂抑制皮层扩散性抑制(CSD) 2.益生菌对小 - 中型 TG 神经元电生理特性的影响 小 - 中型 TG 神经元以伤害感受功能为主,CSD 组均呈现多峰放电模式,而益生菌组均出现单峰放电神经元比例显著升高,且与 CSD 组差异均有统计学意义。电生理分析显示,CSD 组总 spike 数显著高于 Sham 组,而植物乳杆菌组、长双歧杆菌组和 14 菌株复合益生菌组总 spike 数显著降低。所有益生菌组的静息膜电位均显著超极化,阈值电位升高,导致阈值 - RMP 差值显著扩大,而 rheobase 无显著变化。AP 参数方面,植物乳杆菌组和长双歧杆菌组 AP 高度显著降低;长双歧杆菌组去极化时间和 AP 总持续时间显著长于 CSD 组,而复极化时间无显著差异,表明长双歧杆菌可通过延缓动作电位传导进一步抑制神经元兴奋性。 图3 小至中型三叉神经节神经元中神经元兴奋性的益生菌调节 3.益生菌对大型 TG 神经元电生理特性的影响 大型 TG 神经元以单峰放电为主,各组间单峰 / 多峰放电模式分布无显著差异,且总 spike 数在各组间无统计学差异。但益生菌处理仍显著调控兴奋性相关参数:所有益生菌组 RMP 均显著超极化,阈值电位显著升高,阈值 - RMP 差值显著扩大,rheobase 无显著变化。与小 - 中型神经元不同,大型神经元的 AP 高度、去极化时间、复极化时间及 AP 持续时间在各组间均无显著差异,提示益生菌对不同亚型 TG 神经元的调控具有选择性。 图4 大型三叉神经节神经元对益生菌治疗的神经生理反应 四 创新点 本研究的最大创新点在于首次在偏头痛的临床前模型中,系统性地从神经电生理层面直接比较了单一菌株益生菌(及其组合)与多菌株益生菌对“肠-脑-三叉神经轴”上关键环节(中枢CSD和外周TG神经元)的调节作用,并揭示了其作用的菌株特异性和神经元亚型特异性。具体而言,研究不仅观察了宏观的CSD现象,更深入到三叉神经节不同功能亚型神经元的膜电位、放电阈值、动作电位动力学等微观电生理特性,为益生菌缓解偏头痛疼痛提供了坚实的神经元兴奋性变化的直接证据;同时,研究设计允许直接比较不同益生菌配方的效果差异,例如发现B. longum在抑制CSD频率方面有独特优势,而L. plantarum及其组合在降低CSD波幅方面更有效,这种比较为未来开发针对不同偏头痛表型的精准益生菌疗法提供了重要线索;此外,研究成功地将肠道微生物干预与偏头痛的两个核心病理过程——中枢敏化和外周敏化直接联系起来,深化了对“肠-脑轴”在神经系统疾病中作用机制的理解。 本研究正是依托电生理技术(膜片钳、DC 耦合脑电图),才精准解析了益生菌调控偏头痛神经元兴奋性的核心机制,足见其在神经机制研究中的关键价值。 我司可提供在体神经电记录、睡眠癫痫等全流程电生理解决方案,能高分辨率捕捉神经元放电等信号,还可结合您的研究场景(如神经疾病、药物筛选)定制方案,搭配专业团队支持数据解读。期待以精准技术助力您突破实验瓶颈,解锁更多研究可能!



参考文献:Suthivanich P, Vongseenin S, Auvichayapat V, Supronsinchai W, Tumwasorn S, Chayanupatkul M, Bongsebandhu-Phubhakdi S. Probiotic modulation of central and peripheral sensitization in a migraine model via the gut-brain-trigeminal axis. Sci Rep. 2025 Nov 20;15(1):41103. doi: 10.1038/s41598-025-24928-2IF: 3.9 Q1 . PMID: 41266742IF: 3.9 Q1 ; PMCID: PMC12635275IF: 3.9 Q1
创作声明:本文是在原英文文献基础上进行解读,存在观点偏向性,仅作分享,请参考原文深入学习。
想了解更多内容,获取相关咨询请联系 电 话:+86-0731-84428665 伍经理:+86-180 7516 6076 工程师:+86-180 7311 8029 邮 箱:consentcs@163.com


订购和售后
邮箱:consentcs@163.com
地址:湖南省长沙市高新技术开发区青山路699号湖南省军民融合科技创新产业园8栋B座1609室
微信公众号
Copyright © 康森特生物科技(长沙)有限公司 2024
本网站销售的所有产品均不得用于人类或动物之临床诊断或治疗,仅可用于工业或者科研等非医疗目的。
售前:+86-0731-84228665
+86 -180 7516 6076
售后:+86 -180 7516 7741
传真:+86-0731-84228665